Treasury Practice

Interpolating interest rates

Published: Apr 2002

Interest rates are usually quoted for standard periods – one month, two months, three months and six months. In order to calculate an interest rate for an interim period, you have to interpolate a rate from the two nearest given rates. The interpolation assumes that the interest rate increases or decreases uniformly from one date to the next – in other words, the relationship is a straight line.

To interpolate the interest rate

\( Interest\: rate\: r = r_a \: + \: r_b – r_a\: \times \: {\frac{d \: – \:  \alpha}{b \: – \: \alpha}}\)

Where:

  • r is the interest rate applicable for d days
  • rais the interest rate known for a days

And:

  • rb is the interest rate known for b days.

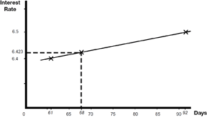
So, if we wanted to apply an interest rate for 68 days, we would use the quoted rates for two months (61 days) and three months (92 days).

Assuming that the two months rate was 6.4% and the three months rate was 6.5%, we would calculate the interest rate for 68 days as follows:

  • \(R = 6.4 \: + \: 6.5 \:-\:6.4 \times \: \frac{ 68 \: – \: 61}{92 \: – \: 61}\)
  • \( = 6.4 \: + \: 6.5 \: – \: 6.4 \: x \: \frac{7}{31}\)
  • = 6.4 + 0.023
  • = 6.423
Conventional calculator

Using a conventional calculator, press the following buttons:

  • 7 ÷ 31 = M + C
  • 6.5 – 6.4 = x MR + 6.4 = this should give the result 6.423
Scientific calculator

Using the scientific calculator on a Windows computer (Start, Programs, Accessories, Calculator, View, Scientific), you would need to press the following keys:

  • 6.4 + 6.5 – 6.4 * 7 / 31 = this should give the result 6.423
HP12C

Using an HP12C (or a similar calculator using Reverse Polish Notation):

  • 6.5 ENTER 6.4 – 7 x 31 6.4 + this should give the result 6.423

The calculation can also be seen graphically:

Calculating an interest rate for an interim period
Diagram 1: Interpolating interest rates

Join our global community

Creating a free account helps us to understand our community better, and tailor our content and events to suit your needs. You can unsubscribe at any time.

Already have an account? Sign in

Search for your company; if not found, select 'Other' and enter it manually below
  • • At least 8 characters
  • • At least 1 uppercase letter (A-Z)
  • • At least 1 lowercase letter (a-z)
  • • At least 1 digit (0-9)